Subproject C6

Human Factor on the uncertainty of utilization/ Analysis of user behavior and development of a utilization language

Based on a literature research, a model for the description of human induced uncertainty during usage and the description of human-machine interaction within its environmental context was developed (see Figure 1).

The goal of the model is to further detail the human part of an interaction, which is important for the resulting uncertainty. Besides the development of a general model, a total of 68 influencing factors, which contribute to the human induced uncertainty during usage, have been collected and allocated to the model’s elements. Because of the possibility to precisely differentiate the human interaction, based on the single sub actions and their corresponding influencing factors, a combination of the developed model with the process model of the CRC 805 is possible. Therefore, the process model can be easily added to supplement the technical subsystem.

Figure 1: human-machine interaction
Figure 1: human-machine interaction

Based on the model, the method of Human Uncertainty Modes and Effects Analysis (HUMEAn) was derived as an approach for the assessment and quantification of human induced uncertainty.

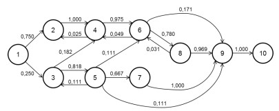
Figure 2: Markov models
Figure 2: Markov models

A first application of HUMEAn was used to assess the human induced uncertainty on the strain of a landing gear during touch-down. Therefore, a total of 44 subjects fulfilled the task of landing an airplane (Cessna S172) within a specifically build flight simulator. Within the study the effect of specific influencing factors, like experience and qualification, were quantified. Further, the applicability of Markov models for the description and assessment of the uncertainty deriving from possible human action sequences was confirmed (see Figure 2). Within a second study with 60 participants using the tripod (demonstrator of the first funding period) the human impact through predominantly physical influencing factors onto a system’s stress could be quantified. Besides, the two studies showed that in case of an existing minimum for a system’s stress, the resulting human induced uncertainty follows a lognormal distribution. Further, a third study with 32 participants was conducted to evaluate the effect of information feedback and different information designs onto the resulting uncertainty. The study showed that through the application of additional digital feedback a significant reduction of the resulting uncertainty can be achieved.

Summarizing, the completed sub-project C6 laid the foundation for the description, assessment and control of human induced uncertainty during usage and build connections to the recent methods of the CRC. Further, the current knowledge that human induced uncertainty follows a lognormal distribution can be applied for several modelling and simulation approaches and thus helps for an early integration of the human factor within uncertainty considerations.

Subproject Managers

Photo Name
B
Prof. Dr.-Ing. Ralph Bruder